Overview
The PDS-PPALL-50 is a cost-effective 50 mm plastic pall ring suited for corrosive chemical applications where metal packing isn’t viable.
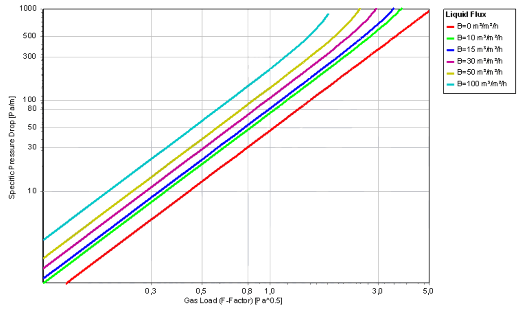
Pressure Drop Performance
Pressure drop performance is shown below (D/d = 20):


Key Specifications
| Property | Value |
|---|---|
| Nominal Size | 50 mm |
| Type | Plastic Random Packing |
| Style | Polypropylene Pall-Ring Tower Packing |
| Dimensions | 50 mm x 50 mm x 50 mm |
| Material Thickness | 1.3 – 1.4 mm |
| Density | 65 kg/m³ |
| Surface Area | 102.1 m²/m³ |
| Void Fraction | 95.9% |
| No. of Pieces per m³ | 6,500 |
| Material Options (MOC) | Polypropylene |
| Packaging | 1 m³ Jumbo Bag |
Applications
-
Absorption towers (acid gases, ammonia, CO₂)
-
Stripping operations (solvent recovery, vacuum stripping)
-
Corrosive‐service chemical towers (low to moderate temperature)
-
Wastewater and effluent gas treatment systems
-
Scrubbers and gas–liquid contact columns in chemical/semi-chemical plants