Overview
The PDS-PPALL-25 is a polypropylene-based pall ring offering exceptional corrosion resistance, ideal for water treatment and chemical towers.
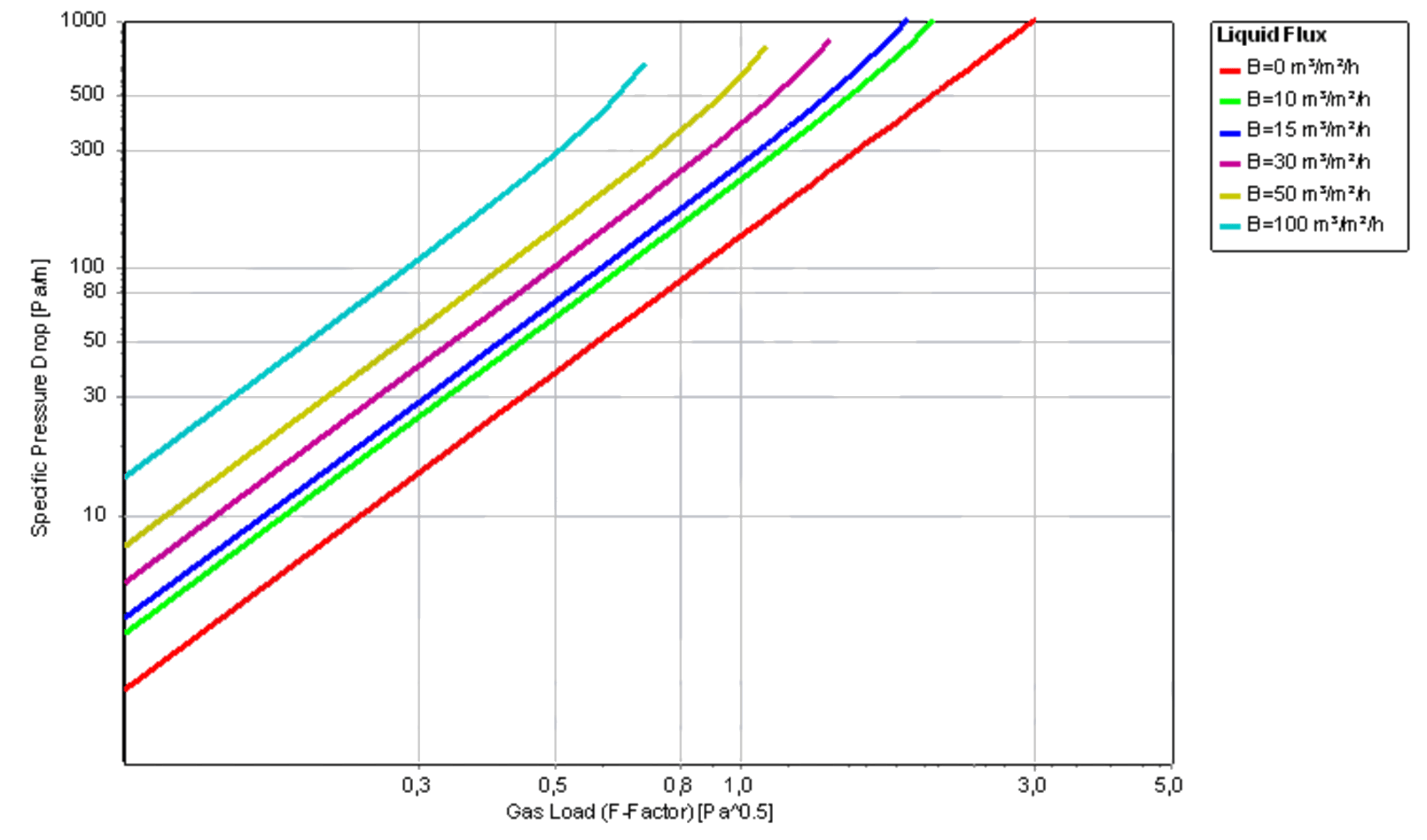
Pressure Drop Performance
Pressure drop graph below based on air-water testing (D/d = 20):


Key Specifications
| Property | Value |
|---|---|
| Nominal Size | 25 mm |
| Type | Plastic Random Packing |
| Style | Polypropylene Pall-Ring Tower Packing |
| Dimensions | 25 mm x 25 mm x 25 mm |
| Material Thickness | 1.0 mm |
| Density | 105 kg/m³ |
| Surface Area | 206.7 m²/m³ |
| Void Fraction | 94.8% |
| No. of Pieces per m³ | 51,000 |
| Material Options (MOC) | Polypropylene |
| Packaging | 1 m³ Jumbo Bag |
Applications
-
Gas–liquid absorption towers (e.g., CO₂, H₂S, SO₂)
-
Scrubbing and odor-control systems
-
Stripping operations (vacuum or steam assisted)
-
Environmental / wastewater treatment packed beds
-
Chemical process separation in corrosive low-temperature service
-
Chlor-alkali and degassing towers