Overview
The PDS-IMTP-40 is a 40 mm IMTP-style metal random packing designed to improve mass transfer and reduce pressure drop in absorption and distillation columns. Its optimized geometry and lightweight construction make it ideal for a wide range of chemical processing environments.
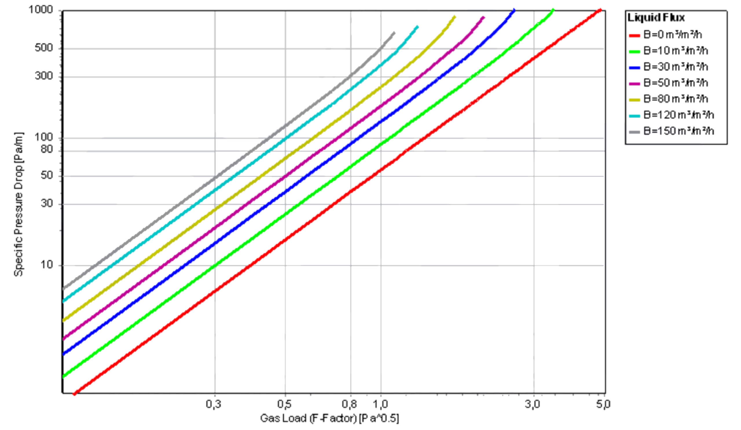
Pressure Drop Performance
Understanding pressure drop is key to ensuring your column performs efficiently. The graph below illustrates the air-water pressure drop characteristics for the PDS-IMTP-40 (D/d = 20):


Key Specifications
| Property | Value |
|---|---|
| Nominal Size | 40 mm |
| Type | Metal Random Packing |
| Style | IMTP Metal Tower Packing |
| Dimensions | 40 mm x 22 mm x 30 mm |
| Material Thickness | 0.25 mm |
| Density | 151–155 kg/m³ |
| Surface Area | 150.8 m²/m³ |
| Void Fraction | 97.7% |
| No. of Pieces per m³ | 50,000 |
| Material Options (MOC) | SS304, SS316L, Hastelloy®, Titanium, Carbon Steel, custom options upon request |
| Packaging | 1 m³ Jumbo Bag |
Applications
- Fine chemical production
- Oil & gas processing
- Waste gas scrubbing
- Distillation and stripping systems
Performance You Can Trust
Designed using the industry-standard D/d ratio of 20, the PDS-IMTP-40 offers consistent, reliable results in both lab and industrial-scale operations.